| ✨三下语文期末复习必备!看拼音写词语一键快速下载+答案解析全收录(9页完整版),✅高效备考,✅答案清晰,✅点击立即保存,期末冲刺一步到位!错过等一年! | |
|---|---|
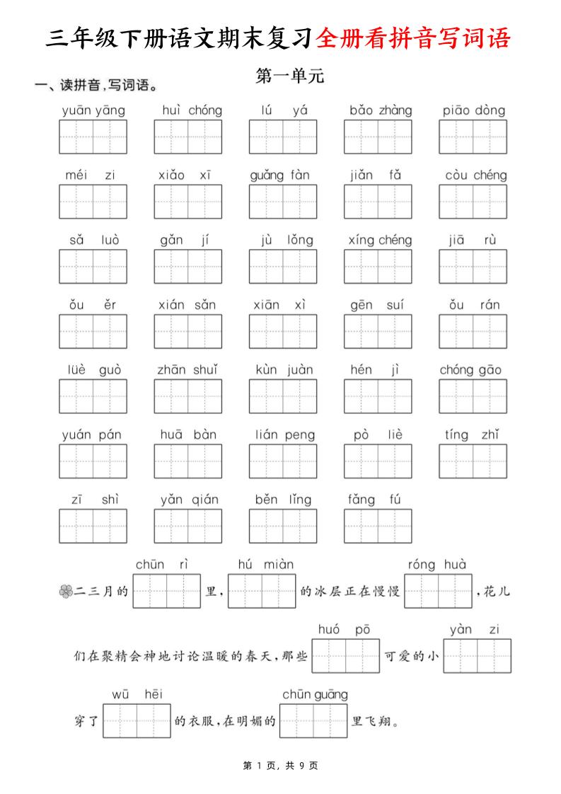
| 三下语文期末复习全册看拼音写词语(含答案9页)—一键保存,高效提分工具 | |
| 资源亮点 | ✅ 人教版三下语文全册核心看拼音写词语汇总 ✅ 含完整答案解析,共9页高清可打印版 ✅ 一键快速下载,随时随地高清保存 ✅ 专为期末复习设计,精准对标考点难点! |
| 内容优势 | 📘 按单元分类整理:每课重点词语全覆盖 ✅ 答案规范详尽:拼音+书写+错字解析三合一 📈 助孩子快速掌握易错字,提升书写准确率 📊 适合家长辅导打印 / 教师课堂复习使用 |
| 使用场景 | 📚 期末总复习查漏补缺 📝 每日听写+课后巩固练习 🖨️ 打印成册,课堂随堂检测 🏫 家长辅导孩子在家自学 |
| 🚀限时免费下载!三下语文看拼音写词语(含答案)9页完整版—立即点击一键保存,期末冲刺不丢分! | |


——预览已结束,还剩7页未读——
当前资源可在小程序中免费下载
开通会员后可免广告无限制下载
全站无水印高清完整文档
无需登录,小程序内可免费下载全站资源
选择适合您的网盘下载方式
© 版权声明
文章版权归作者所有,未经允许请勿转载。
THE END













